Калькулятор онлайн

Возведение матрицы в степень

На данной странице калькулятор поможет возвести матрицу в степень онлайн с подробным решением. Для расчета задайте целые или десятичные числа.

Матрицу в степень


Размерность матрицы:
Степень:

A


Теория

Возвести в степень можно только квадратную матрицу 2x2, 3x3 и т.д.

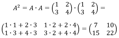
Чтобы возвести матрицу A в квадрат, нужно это матрицу умножить саму на себя.

A2 = A · A.

Пример

Возвести матрицу А в квадрат.

Возведение матрицы в степень

Умножим матрицу A саму на себя.

Возведение матрицы в степень

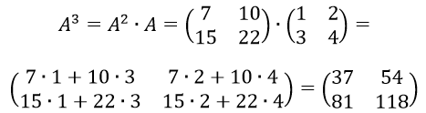
Чтобы возвести матрицу A в куб, нужно это матрицу умножить саму на себя три раза.

A3 = A · A · A = A2 · A.

Пример

Возвести матрицу А в куб.

Возведение матрицы в степень

Умножим матрицу A саму на себя и найдем матрицу во второй степени.

Возведение матрицы в степень

Полученную матрицу умножим на исходную A.

Возведение матрицы в степень

Если вы нашли ошибку или идею для сайта пишите!
captcha