Калькулятор онлайн

Как разложить определитель по строке или столбцу

Для того что бы вычислить определитель матрицы четвертого порядка или выше можно разложить определитель по строке или столбцу или применить метод Гаусса и привести определитель к треугольному виду. Рассмотрим разложение определителя по строке или столбцу.

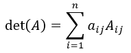
Определитель матрицы равен сумме умноженных элементов строки определителя на их алгебраические дополнения:

Разложить определитель по строке или столбцу

- разложение по i-той строке.

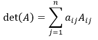
Определитель матрицы равен сумме умноженных элементов столбца определителя на их алгебраические дополнения:

Разложить определитель по строке или столбцу

- разложение по j-той строке.

Для облегчения разложение определителя матрицы обычно выбирают ту строку/столбец, в которой/ом максимальное количество нулевых элементов.

Пример

Найдем определитель матрицы четвертого порядка.
Разложить определитель по строке или столбцу

Будем раскладывать этот определитель за столбцом №3. Сделаем некоторые преобразования, что бы облегчить дальнейшие расчеты.

Сделаем ноль вместо элемента a43=9. Для этого из строки №4 вычтем от соответствующие элементы строки №1 умноженные на 3.
Результат записываем в строке №4 все остальные строки переписываем без изменений.

Разложить определитель по строке или столбцу

Вот мы и сделали нолями все элементы, кроме a13 = 3 в столбце № 3. Теперь можно преступить и к дальнейшему разложению определителя за этим столбцом.

Разложить определитель по строке или столбцу

Видим, что только слагаемое №1 не превращается в ноль, все остальные слагаемые будут нолями, так как они умножаются на ноль.
Значит, далее нам надо разложить, только один определитель:

Разложить определитель по строке или столбцу

Будем раскладывать этот определитель за строкой №1. Сделаем некоторые преобразования, что бы облегчить дальнейшие расчеты.

Видим, что в этой строке есть два одинаковых числа, поэтому вычтем из столбца №3 столбец №2, и результат запишем в столбце №3, от этого величина определителя не изменится.

Разложить определитель по строке или столбцу

Далее нам надо сделать ноль вместо элемента a12=4. Для этого мы элементы столбца №2 умножим на 3 и вычтем от него соответствующие элементы столбца №1 умноженные на 4. Результат записываем в столбце №2 все остальные столбцы переписываем без изменений.

Разложить определитель по строке или столбцу

Но при этом надо не забывать, что если мы умножаем столбец №2 на 3, то и весь определитель увеличится в 3. А что бы он не изменился, значит надо его поделить на 3.

Разложить определитель по строке или столбцу

Сократим числитель и знаменатель дроби на 3.

Вот мы и сделали нолями все элементы, кроме a11 = 3 в строке № 1. Теперь можно преступить и к дальнейшему разложению определителя за этой строкой.

Разложить определитель по строке или столбцу

Видим, что у нас остался один определитель второго порядка.

Разложить определитель по строке или столбцу

Найдем определитель по формуле: a11×a22 - a21×a12.

det(A)=3·(-14)·(-13)-(-6)·(-2)=510


Если вы нашли ошибку или идею для сайта пишите!
captcha