Свойства определителя матрицы
- Определитель единичной матрицы равен единице: det(E) = 1. Единичная матрица — это квадратная матрица, элементы главной диагонали которой равны единице, а все остальные элементы равны 0.

- Определитель матрицы с двумя равными строками или столбцами равен нулю.

- Определитель матрицы с двумя пропорциональными строками или столбцами равен нулю.

- Определитель матрицы, содержащий нулевую строку или столбец, равен нулю.

- Определитель матрицы равен нулю, если две или несколько строк или столбцов матрицы линейно зависимы.

- При транспонировании значение определителя матрицы не меняется: det(A) = det(AT).

- Определитель обратной матрицы: det(A-1) = det(A)-1.
- Определитель матрицы не изменится, если к какой-то его строке или столбцу прибавить другую строку или столбец, умноженную на некоторое число.

- Определитель матрицы не изменится, если к какой-то его строке или столбцу прибавить линейную комбинации других строк или столбцов.
- Если поменять местами две строки или два столбца матрицы, то определитель матрицы поменяет знак.

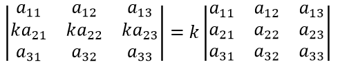
- Общий множитель в строке или столбце можно выносить за знак определителя:

- Если квадратная матрица n-того порядка умножается на некоторое ненулевое число, то определитель полученной матрицы равен произведению определителя исходной матрицы на это число в n-той степени:
B = k·A => det(B) = kn·det(A), где A матрица n×n, k - число.
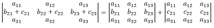
- Если каждый элемент в какой-то строке определителя равен сумме двух слагаемых, то исходный определитель равен сумме двух определителей, в которых вместо этой строки стоят первые и вторые слагаемые соответственно, а остальные строки совпадают с исходным определителем:

- Определитель верхней или нижней треугольной матрицы равен произведению его диагональных элементов.

- Определитель произведения матриц равен произведению определителей этих матриц: det(A·B) = det(A)·det(B).