Калькулятор онлайн

Определитель матрицы методом Саррюса

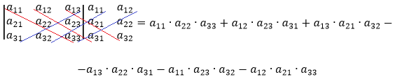
С помощью метода Саррюса находится определитель матрицы третьего порядка. Матрица третьего порядка - это матрица 3х3. Что бы найти ее определитель, нужно воспользоваться формулой:
Определитеть матрицы методом Саррюса

К определителю матрицы справа добавляется первых два столбца определителя. Складываем умноженные элементы на главной диагонали с умноженными элементами диагоналей параллельные главной. От полученного значения отнимаем умноженные элементы побочной диагонали с умноженными элементами диагоналей параллельные побочной.

Пример

Найдем определитель матрицы третьего порядка методом Саррюса.
Определитеть матрицы методом Саррюса


Если вы нашли ошибку или идею для сайта пишите!
captcha